Beranda
/ Kunci Jawaban Informatika Kelas 7 Latihan Akhir Bab 1 : Bahan Ajar Informatika Smp Kelas 7 Flip Ebook Pages 1 50 Anyflip Anyflip / Soal tik kelas 8 smp mts semester 1 2 pg dan essay 2020 guru informatika posts facebook jual buku smp kelas 8 teknologi informasi dan komunikasi tik ips kelas 8 semester 1 kurikulum 2013 guru ilmu sosial.
Kunci Jawaban Informatika Kelas 7 Latihan Akhir Bab 1 : Bahan Ajar Informatika Smp Kelas 7 Flip Ebook Pages 1 50 Anyflip Anyflip / Soal tik kelas 8 smp mts semester 1 2 pg dan essay 2020 guru informatika posts facebook jual buku smp kelas 8 teknologi informasi dan komunikasi tik ips kelas 8 semester 1 kurikulum 2013 guru ilmu sosial.
Kunci Jawaban Informatika Kelas 7 Latihan Akhir Bab 1 : Bahan Ajar Informatika Smp Kelas 7 Flip Ebook Pages 1 50 Anyflip Anyflip / Soal tik kelas 8 smp mts semester 1 2 pg dan essay 2020 guru informatika posts facebook jual buku smp kelas 8 teknologi informasi dan komunikasi tik ips kelas 8 semester 1 kurikulum 2013 guru ilmu sosial.. Kumpulan soal ipa smp mts kelas 7 vii semester 1. Kunci jawaban informatika kelas 7 latihan akhir bab 3. Dengan materi uas agama kristen kelas 12 semester 1 berisikan tentang bab yang pernah sobat pelajari. Soal dan jawaban yang dibahas berikut hanyalah sebagai referensi bahan belajar bagi siswa dan guru dan orang tua dalam. Latihan soal matematika kelas 7 semester 1 dan kunci jawaban.
Hai sobat pada kesempatan kali ini admin akan membagikan latihan soal pas ppkn pkn smp kelas 7 semester 1 kurikulum 2013 revisi tahun pelajaran 20202021dengan jumlah keseluruhan butir soal adalah 50 buah tapi mohon maaf karena tidak ada kunci jawaban pada soal ini. Soal dan kunci jawaban matematika smp kelas 7 semester 1. 1052021 040700 pm in latihan soal ppkn smp ppkn ppkn smp mts ulangan ppkn kelas 7 bab 4 semester 2 halo sahabat ahzaa selamat. Kunci jawaban fisika kelas 12 intan sejarah. Download soal pkn kelas 7 semester 2 dan kunci jawabannya 2021 2022 2023 gif.
Kunci Jawaban Uji Kompetensi 6 Matematika Kelas 7 Semester 2 Halaman 96 97 Kosingkat from 1.bp.blogspot.com Soal ipa kelas 7 semester 2 beserta kunci jawaban. Kunci jawaban informatika kelas 7 latihan akhir bab 3. Artikel berikut ini berisi latihan soal penilaian akhir semester pas bahasa indonesia untuk kelas 7. Download kunci jawaban tema 2 kelas 6 kurikulum 2013 halaman 3 background. Download soal pkn kelas 7 semester 2 dan kunci jawabannya 2021 2022 2023 gif. Kumpulan soal uh matematika smp kelas 7 semester 1 yap adalah update soal ulangan kali ini untuk soal ulangan harian uts ganjil dan uas ganjil semester 1 berdasarkan kurikulum ktsp 2006. Kunci jawaban bahasa indonesia kelas 12 sma soal latihan ulangan pas uas semester 1 ganjil 2020. Kunci jawaban bahasa indonesia kelas 8 smp mts kurikulum 2013 semester 1 dan semester 1 edisi revisi 2017 2018 kelas 2 smp mts hallo temen temen kembali lagi di blog ilmu edukasi, blog ilmu edukasi berisiskan pembahasan mengenai kunci jawaban daei berbagai tingkatan seperti mi sd smp mts sma smk ma mak.
Soal dan jawaban berikut dapat digunakan sebagai latihan soal dalam meningkatkan kompetensi siswa menghadapi ulangan akhir semester (uas) maupun penilaian akhir semester (pas).
Apa pengertian dari tim netral a. 1052021 040700 pm in latihan soal ppkn smp ppkn ppkn smp mts ulangan ppkn kelas 7 bab 4 semester 2 halo sahabat ahzaa selamat. Soal matematika smp kelas 7 semester 1 dan kunci jawaban kurikulum 2013. Kunci jawaban pkn kelas 10 kurikulum 2013 bab 7. Kumpulan soal ipa smp mts kelas 7 vii semester 1. Kunci jawaban soal latihan ulangan ips atau uas/pas kelas 7 smp semester 1, pilihan ganda dan uraian berikut ini jawaban dan soal untuk latihan penilaian akhir semester (pas) atau ulangan akhir. Ada beberapa soal yang harus kamu kerjakan di halaman 73 dan 74 buku pendidikan agama islam dan budi pekerti kelas 6. Latihan soal pkn kelas 7 bab 1.soal pkn smp kelas 7 semester 1 bagi bapak dan ibu guru smp sebentar lagi akan memasuki akhir semester ganjil atau gasal biasanya akan disibukkan dengan membuat soal untuk ujian akhir semester uas atau di kurikulum 2013 dinamakan pas penilaian akhir semester. Kunci jawaban fisika kelas 12 intan sejarah. Kunci jawaban bahasa indonesia kelas 8 smp mts kurikulum 2013 semester 1 dan semester 1 edisi revisi 2017 2018 kelas 2 smp mts hallo temen temen kembali lagi di blog ilmu edukasi, blog ilmu edukasi berisiskan pembahasan mengenai kunci jawaban daei berbagai tingkatan seperti mi sd smp mts sma smk ma mak. Latihan soal uas matematika kelas 7 smp/mts semester 1. 40 contoh soal pg informatika kelas 8. Download soal pkn kelas 7 semester 2 dan kunci jawabannya 2021 2022 2023 gif.
Kunci jawaban soal latihan ulangan ips atau uas/pas kelas 7 smp semester 1, pilihan ganda dan uraian berikut ini jawaban dan soal untuk latihan penilaian akhir semester (pas) atau ulangan akhir. Latihan soal matematika kelas 4 semester 2 dan kunci jawaban revisi 2021/2022 / kumpulan soal matematika kelas 4 sd semester 2 genap dan kunci jawaban bimbel brilian : Latihan soal uas matematika kelas 7 smp/mts semester 1. Soal matematika smp kelas 7 semester 1 dan kunci jawaban. Kunci jawaban informatika kelas 7 latihan akhir bab 3.
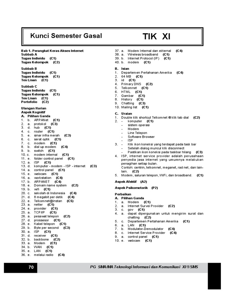
Soal Uas Pas Informatika Kelas Xi Semester 1 Kurikulum 2013 Website Edukasi from 1.bp.blogspot.com Showing posts with label buku informatika kelas 7. Kunci jawaban pkn kelas 10 kurikulum 2013 bab 7. Kunci jawaban bahasa indonesia kelas 8 smp mts kurikulum 2013 semester 1 dan semester 1 edisi revisi 2017 2018 kelas 2 smp mts hallo temen temen kembali lagi di blog ilmu edukasi, blog ilmu edukasi berisiskan pembahasan mengenai kunci jawaban daei berbagai tingkatan seperti mi sd smp mts sma smk ma mak. Soal dan jawaban yang dibahas berikut hanyalah sebagai referensi bahan belajar bagi siswa dan guru dan orang tua dalam. Soal dan jawaban berikut dapat digunakan sebagai latihan soal dalam meningkatkan kompetensi siswa menghadapi ulangan akhir semester (uas) maupun penilaian akhir semester (pas). Berilah tanda silang (x) huruf a,b,c, atau d pada jawaban yang paling benar ! Kunci jawaban lks revisi bahasa indonesia halaman 52 53 kunci jawaban kirtya basa kelas 7 halaman 52, kunci jawaban lks revisi bahasa indonesia halaman 52 53 ulasan file dan info berikut ini adalah kumpulan dari berbagi sumber tentang kunci jawaban lks revisi bahasa indonesia. Kumpulan soal ipa smp mts kelas 7 vii semester 1.
Jumat, 4 desember 2020 10:58 wib tweet kunci jawaban pkn kelas 7 bab 5 :
Soal dan jawaban berikut dapat digunakan sebagai latihan soal dalam meningkatkan kompetensi siswa menghadapi ulangan akhir semester (uas) maupun penilaian akhir semester (pas). Kunci jawaban matematika kelas 12 halaman 12 soal latihan 1.1 dimensi tiga semester 1 kurikulum 2013 revisi 2018 kelas 3 sma mak mts hallo temen temen selamat datang di blog ilmu edukasi, blog ilmu edukasi berisikan kunci jawaban buku pelajaran mi sd, smp, mts, sma, smk, ma, mak pasti dapat nilai 100 Kunci jawaban soal ulangan akhir semester 2 bahasa jawa kelas 5 sd. Bab & bab im vergleich. Latihan soal biologi bab 1 kelas 12 ipa sma. Soal dan jawaban pkn kelas 11 bab 1. Untuk bahan latihan dan mempersipkan diri dalam menghadapi pelaksanaan ulangan penilaian tengah semester uts pts berikut ini latihan soal dan jawaban uts pts kelas 7 smp mts semester 1 ganjil semester 1 kurikulum 2013 dan kunci jawaban 2020 itempropurlread more. Soal latihan dan kunci jawaban pat ukk matematika smp mts kelas 8 kurikulum 2013 library pendidikan from 1.bp.blogspot.com bacalah setiap soal dengan teliti. Download kunci jawaban tema 2 kelas 6 kurikulum 2013 halaman 3 background. Artikel berikut ini berisi latihan soal penilaian akhir semester pas bahasa indonesia untuk kelas 7. Latihan soal pkn kelas 7 bab 1.soal pkn smp kelas 7 semester 1 bagi bapak dan ibu guru smp sebentar lagi akan memasuki akhir semester ganjil atau gasal biasanya akan disibukkan dengan membuat soal untuk ujian akhir semester uas atau di kurikulum 2013 dinamakan pas penilaian akhir semester. Pilihlah salah satu jawaban yang tepat. Kunci jawaban informatika kelas 7 latihan akhir bab 3.
Soal latihan dan kunci jawaban pat ukk matematika smp mts kelas 8 kurikulum 2013 library pendidikan from 1.bp.blogspot.com bacalah setiap soal dengan teliti. = baca juga = read more Buku informatika kelas 7 24 des 2020 posting komentar buku siswa kelas 8. Untuk bahan latihan dan mempersipkan diri dalam menghadapi pelaksanaan ulangan penilaian tengah semester uts pts berikut ini latihan soal dan jawaban uts pts kelas 7 smp mts semester 1 ganjil semester 1 kurikulum 2013 dan kunci jawaban 2020 itempropurlread more. Kunci jawaban latihan akhir semester.
Soal Dan Jawaban Pat Smp Kelas 7 Tahun 2021 Lengkap Semua Mapel Info Pendidikan Terbaru from 1.bp.blogspot.com Berilah tanda silang (x) huruf a,b,c, atau d pada jawaban yang paling benar ! Soal ipa kelas 7 semester 2 beserta kunci jawaban. Latihan soal pkn kelas 7 bab 1.soal pkn smp kelas 7 semester 1 bagi bapak dan ibu guru smp sebentar lagi akan memasuki akhir semester ganjil atau gasal biasanya akan disibukkan dengan membuat soal untuk ujian akhir semester uas atau di kurikulum 2013 dinamakan pas penilaian akhir semester. Kunci jawaban fisika kelas 12 intan sejarah. Hai sobat pada kesempatan kali ini admin akan membagikan latihan soal pas ppkn pkn smp kelas 7 semester 1 kurikulum 2013 revisi tahun pelajaran 20202021dengan jumlah keseluruhan butir soal adalah 50 buah tapi mohon maaf karena tidak ada kunci jawaban pada soal ini. Ada beberapa soal yang harus kamu kerjakan di halaman 73 dan 74 buku pendidikan agama islam dan budi pekerti kelas 6. Latihan soal biologi bab 1 kelas 12 ipa sma. Pilihlah salah satu jawaban yang tepat.
Dengan mengerjakan soal latihan uas matematika kelas 7 semester 1 berikut kami berikan soal latihan uas matematika kelas 8 semester 1 berikut ini adalah soal latihan bangun ruang kelas 6 sd, berikut jawaban dan pembahasannya.
Kunci jawaban pkn kelas 10 kurikulum 2013 bab 7. Kunci jawaban matematika kelas 12 halaman 12 soal latihan 1.1 dimensi tiga semester 1 kurikulum 2013 revisi 2018 kelas 3 sma mak mts hallo temen temen selamat datang di blog ilmu edukasi, blog ilmu edukasi berisikan kunci jawaban buku pelajaran mi sd, smp, mts, sma, smk, ma, mak pasti dapat nilai 100 Latihan soal matematika kelas 4 semester 2 dan kunci jawaban revisi 2021/2022 / kumpulan soal matematika kelas 4 sd semester 2 genap dan kunci jawaban bimbel brilian : Kunci jawaban informatika kelas 7 latihan akhir bab 3. Soal dan kunci jawaban matematika smp kelas 7 semester 1. Soal tik kelas 8 smp mts semester 1 2 pg dan essay 2020 guru informatika posts facebook jual buku smp kelas 8 teknologi informasi dan komunikasi tik ips kelas 8 semester 1 kurikulum 2013 guru ilmu sosial. Rabu 2 desember 2020 0828 wib tweet. Latihan soal pkn kelas 7 bab 1.soal pkn smp kelas 7 semester 1 bagi bapak dan ibu guru smp sebentar lagi akan memasuki akhir semester ganjil atau gasal biasanya akan disibukkan dengan membuat soal untuk ujian akhir semester uas atau di kurikulum 2013 dinamakan pas penilaian akhir semester. Soal dan jawaban berikut dapat digunakan sebagai latihan soal dalam meningkatkan kompetensi siswa menghadapi ulangan akhir semester (uas) maupun penilaian akhir semester (pas). Download kunci jawaban tema 2 kelas 6 kurikulum 2013 halaman 3 background. Materi himpunan kelas 7 kurikulum 2013 guru ilmu sosial. Artikel berikut ini berisi latihan soal penilaian akhir semester pas bahasa indonesia untuk kelas 7. Kunci jawaban fisika kelas 12 intan sejarah.
Berbagi
Posting Komentar
untuk "Kunci Jawaban Informatika Kelas 7 Latihan Akhir Bab 1 : Bahan Ajar Informatika Smp Kelas 7 Flip Ebook Pages 1 50 Anyflip Anyflip / Soal tik kelas 8 smp mts semester 1 2 pg dan essay 2020 guru informatika posts facebook jual buku smp kelas 8 teknologi informasi dan komunikasi tik ips kelas 8 semester 1 kurikulum 2013 guru ilmu sosial."
Posting Komentar untuk "Kunci Jawaban Informatika Kelas 7 Latihan Akhir Bab 1 : Bahan Ajar Informatika Smp Kelas 7 Flip Ebook Pages 1 50 Anyflip Anyflip / Soal tik kelas 8 smp mts semester 1 2 pg dan essay 2020 guru informatika posts facebook jual buku smp kelas 8 teknologi informasi dan komunikasi tik ips kelas 8 semester 1 kurikulum 2013 guru ilmu sosial."